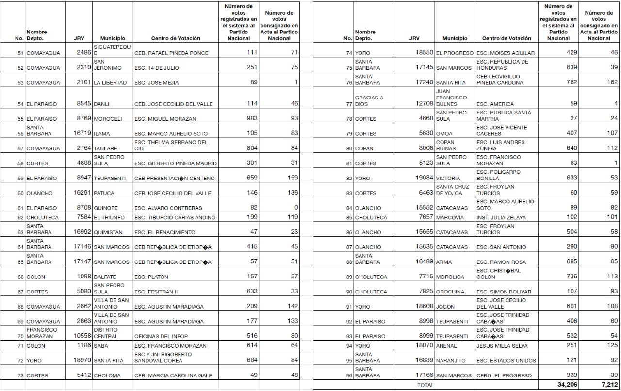
Redacción. Salvador Nasralla, candidato a la presidencia por el Partido Liberal, denunció este viernes que el Partido Nacional tiene 26,994 votos inflados en el escrutinio desarrollado en el Consejo Nacional Electoral (CNE) por el Grupo ASD.
En conferencia de prensa, Nasralla expuso que hasta el momento hay 2,850 actas sumadas en el conteo electoral, que reflejan una ventaja de más de 20 mil votos a favor del Partido Nacional.
Sin embargo, estas actas tienen inconsistencias que estarían afectando al Partido Liberal. Según detalló el presidenciable, su equipo técnico se dio a la tarea de comenzar a revisar las inconsistencias.

Una vez revisados 136 documentos de 2,850, el Partido Liberal descubrió que hay 26,994 votos sumados de manera incorrecta a los nacionalistas.
Agregó que al Partido Liberal le quitaron en esas actas un total de 1,860 votos, por lo que de momento el total de votos incorrectos ascendería a 28,854.
Lea también: Con casi el 90 % de actas transmitidas, Asfura mantiene ventaja sobre Nasralla
Llevamos la delantera
El presidenciable aseguró que el Partido Liberal lleva la delantera pese a lo que refleja el CNE, por lo que pidió tranquilidad.
“Estamos tranquilos, tenemos nuestro búnker, mañana van a variar los números, a menos que se inventen otra cosa. A pesar de eso, nosotros ganamos la presidencia de la República», afirmó.
El Partido Liberal recordó que en el escrutinio especial hay 500 votos en juego, muchos de ellos a favor de Nasralla, un aproximado de 40 % en la costa norte.
«Esta es imposible que nos la quiten. Están queriendo crear la percepción de que nosotros no tenemos un equipo tecnológico, pero sí lo tenemos. Tenemos todas las actas originales», cerró.


La lentitud y las fallas en el sistema de transmisión mantienen un tenso ambiente en el territorio nacional, donde el Partido Nacional también asegura tener todas las actas.
Diversos sectores han hecho un llamado a los actores políticos a tener paciencia y esperar el resultado final del conteo.



